logo
Wersja dla niedowidzących
  Archiwum Powiat Karkonoski
Choose language:       
corner
Statystyki
Rejestr zmian
Mapa strony
Instrukcja biuletynu
Pliki do pobrania
corner
  
corner corner
corner corner
 STATUS POWIATU
minus Statut Powiatu
minus Przedmiot działalności
minus Jednostki Powiatu
minus Gminy Powiatu
plus Budżet i majątek Powiatu
plus Akty prawa miejscowego
minus Dane statystyczne GUS
minus Raport o stanie powiatu karkonoskiego
 ORGANY POWIATU
plus RADA POWIATU
plus ZARZĄD POWIATU
 STAROSTWO POWIATOWE W JELENIEJ GÓRZE
minus Dane adresowe, NIP, REGON, nr konta bankowego, funkcje, komórki organizacyjne,telefony, fax, e-mail
minus Status prawny i przedmiot działalności
minus Schemat organizacyjny
minus Regulamin organizacyjny
plus Przyjmowanie i załatwianie spraw przez wydziały
plus Działalność pożytku publicznego - organizacje pozarządowe w powiecie
minus Procedura przyjęcia, rozpatrzenia i załatwienia skargi lub wniosku
plus Petycje do Zarządu Powiatu lub Starosty Karkonoskiego
plus Ankieta
minus Dziennik Ustaw
minus Monitor Polski
minus Dziennik Urzędowy Województwa Dolnośląskiego
minus Dostęp do aktów prawnych Unii Europejskiej
minus Internetowy System Aktów Prawnych
minus Dzienniki Urzędowe
minus Skorowidz przepisów prawnych od 1918 r.
minus INFORMACJA O USŁUGACH WSPIERAJĄCYCH KOMUNIKOWANIE SIĘ
minus Biuro Rzeczy Znalezionych
minus Obowiązaek informacyjnyc w myśl przepisów RODO
 FUNKCJONOWANIE JEDNOSTEK ORGANIZACYJNYCH POWIATU
plus SZKOŁY, PORADNIE I INNE PODMIOTY OŚWIATOWE
plus POMOC SPOŁECZNA RODZINIE
plus POZOSTAŁE JEDNOSTKI
 OŚWIADCZENIA MAJĄTKOWE W POWIECIE
plus Oświadczenia radnych Rady Powiatu
minus Oświadczenia Starosty Jeleniogórskiego
plus Oświadczenia członków Zarządu Powiatu i kierowników jednostek
plus Oświadczenia pozostałych pracowników Starostwa i jednostek
minus Wzory oświadczeń majątkowych
 INNE
plus E-informator o prawach i obowiązkach obywatelskich oraz E-poradnik o mediacji
minus Redakcja Biuletynu
plus Instrukcja obsługi biuletynu
minus Europejski Kodeks Dobrej Administracji
minus Traktaty Unii Europejskiej
minus Obywatelska Karta Antykorupcyjna
minus Poradnik antykorupcyjny dla urzędników
minus Rządowy Program Przeciwdziałania Korupcji na lata 2014–2019
minus Informacja dla b. pracowników SP ZOZ w Kowarach
minus KONWENCJA O PRAWACH OSÓB NIEPEŁNOSPRAWNYCH
minus KARTA PRAW PODSTAWOWYCH UNII EUROPEJSKIEJ
minus Rezolucja Parlamentu Europejskiego w sprawie sytuacji w Polsce
minus Komisja Europejska w obronie niezależności sądów w Polsce
minus Rezolucja Parlamentu Europejskiego z dnia 15 listopada 2017 r. w sprawie sytuacji w zakresie praworządności i demokracji w Polsce
minus Zalecenia Komitetu Praw Człowieka ONZ z rozpatrzenia VII Sprawozdania okresowego Polski z realizacji postanowień Międzynarodowego Paktu Praw Obywatelskich i Politycznych
minus Rozporządzenie Parlamentu Europejskiego i Rady Unii Europejskiej 2016/679 z dnia 27 kwietnia 2016 r. w sprawie ochrony osób fizycznych w związku z przetwarzaniem danych osobowych i w sprawie swobodneg
minus Informacja o stanie przestrzegania wolności i praw człowieka i obywatela w 2017 r. oraz o działalności Rzecznika Praw Obywatelskich
minus Biała Księga Rzecznika Praw Obywatelskich na temat działań dotyczących ochrony praworządności
minus Oświadczenie Pierwszego Prezesa SN z dnia 23 grudnia 2019 r.
 Ponowne wykorzystanie
minus Warunki ponownego wykorzystania informacji publicznej w postaci elektronicznej
 Informacje
plusPrzetargi
plusOgłoszenia
 Sprawy do załatwienia
A A A


Załączniki do pobrania: 2012-04-24 09:50:40 - str.1 (51.81 kB)
2012-04-24 09:51:07 - str.2 (44.42 kB)
2012-04-24 09:51:33 - str.3 (24.09 kB)

Ilość odwiedzin: 2847
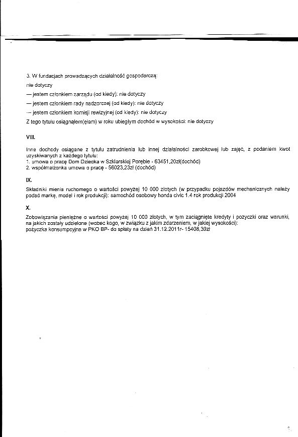
Nazwa dokumentu: Jarosław Malec - Dyrektor Domu Dziecka w Szklarskiej Porębie
Osoba, która wytworzyła informację: składająca oświadczenie
Osoba, która odpowiada za treść: składająca oświadczenie
Osoba, która wprowadzała dane: Włodzimierz Słodkiewicz
Data wytworzenia informacji: 2010-04-29 13:32:08
Data udostępnienia informacji: 2010-04-29 13:32:08
Data ostatniej aktualizacji: 2012-04-24 09:51:54

Wersja do wydruku...

Rejestr zmian...

corner   corner